Cánh Chân Của Namor Trong Black Panther 2 Có Thể Hoạt Động Thực Sự?

Trong đoạn trailer của bộ phim Marvel sắp tới Black Panther 2: Wakanda Forever, bạn có thể nhận ra điều gì đó thú vị: Một nhân vật đang bay bằng cách sử dụng những đôi cánh nhỏ ở mắc áo. Trong đoạn phim, anh ta được thấy đang hạ xuống chậm chạp theo một góc độ trong khi đôi cánh nh flutter để giữ anh ta từ việc rơi.
Ngay từ đầu, dường như điều này sẽ là vi phạm rõ ràng của luật vật lý. Sau tất cả, nhân vật Namor có kích thước của con người và không thể bay đứng với một bộ cánh bay nhỏ như vậy. (Kỹ thuật, anh ta không phải là con người. Còn được biết đến với tên Sub-Mariner, anh ta là một đô đốc trong vương quốc Atlantis.) Điều này đơn giản là một vấn đề đang chờ đợi một phân tích.
Nhưng trước khi chúng ta đào sâu vào vật lý để xem liệu những cánh mắt cá chân này có thực sự hoạt động hay không, tôi nghĩ rằng đây là một ý tưởng tốt để xem xét nhanh về cách các siêu anh hùng bay trong Marvel Cinematic Universe. (Vâng, tôi giới hạn cuộc trò chuyện này chỉ đến MCU—nếu chúng ta bao gồm tất cả siêu anh hùng bay, sẽ có quá nhiều lựa chọn.)
Bay Như Một Chiếc Máy Bay

Một cánh là bản rộng lớn cơ bản di chuyển qua không khí với một góc nghiêng nhẹ. Khi bạn đưa tay ra khỏi cửa sổ của một chiếc ô tô đang di chuyển và để không khí đẩy nó lên và xuống, đó chính là điều xảy ra với cánh máy bay. Các phân tử không khí bị lệch khỏi bề mặt nghiêng và bị đẩy xuống. Nhưng vì lực luôn là sự tương tác giữa hai đối tượng, cánh đẩy xuống trên không khí có nghĩa là không khí đẩy lên trên cánh. Chúng ta gọi đây là lực nâng. Giá trị của lực này phụ thuộc vào độ nghiêng của cánh, kích thước của cánh và tốc độ của máy bay.
Vì cánh này nghiêng lên một chút, cũng có một lực đẩy ngược từ không khí. Hiệu ứng này được gọi là lực đề kháng. Với lực đề kháng này, một máy bay không thể bay trong không khí yên đình được lâu mà không có cái gì đẩy nó đi về phía trước—đó là lý do tại sao nó cần động cơ phản lực.
Đó là vật lý của bay máy bay chỉ trong vài câu. Nếu bạn muốn biết thêm chi tiết, đây là một ví dụ về vật lý bay giải thích tại sao máy bay chở khách không thể cất cánh trong thời tiết cực nóng.
Chim, tất nhiên, thực hiện tất cả điều này mà không cần động cơ. Họ sử dụng cánh để tạo lực nâng (và tạo lực đề kháng)—nhưng họ vẫn đập cánh để chống lại lực đề kháng. (Được rồi, có vẻ phức tạp hơn một chút. Aerodynamics của cánh chim không phải hoàn toàn giống như của cánh máy bay do các xoáy xoắn hỗn loạn mà những cánh đó tạo ra. Điều này đặc biệt đúng với những loại chim có thể giữ ở một chỗ, như chú chim ruồi.)
Ai sử dụng phương pháp cánh để bay trong MCU? Hai ví dụ nổi bật là Falcon (trong Captain America: The Winter Soldier) và Vulture (trong Spider-Man: Homecoming). Cả hai nhân vật này đều mang trên lưng cánh nhân tạo, cùng với một loại động cơ nào đó để tạo đẩy.
Nhưng bạn không cần phải là siêu anh hùng để trải nghiệm loại bay này. Nếu bạn có một bộ cánh carbon-fiber và bốn động cơ, bạn có thể bay giống như Yves Rossy, còn được biết đến với tên là “Jetman.”
Bay Như Một Tên Lửa

Đang Nổi
Vision, từ Avengers: Age of Ultron, là một hình thức số hóa. Anh ấy có nhiều siêu năng lực kinh điển (như sức mạnh, tốc độ, sức chịu đựng), nhưng anh ấy cũng có thể thay đổi mật độ của mình. Vì vậy, khi Vision bay, tôi giả định rằng đó là do anh ấy thực sự đang nổi trong không khí.
Liệu có thể物理学上, có thể làm cho một siêu anh hùng đang nổi không? Câu trả lời là có. Mọi thứ sẽ nổi miễn là nó có mật độ bằng với không khí, khoảng 1,2 kilogram mỗi mét khối. Ví dụ, nếu bạn cần xây dựng một quả cầu kim loại đang nổi có thể phục vụ như hang ổ siêu ác, bạn có thể làm được—miễn là nó đủ lớn để mật độ không khí bên trong bằng với mật độ không khí bên ngoài.
Trong thế giới thực, đây là nguyên lý đằng sau các phương tiện bay như các chiếc đồng hồ cây có gá, về cơ bản, không khí có khối lượng. Nếu bạn lấy một khối hình hộp có kích thước 1 mét trên mỗi cạnh và lấp đầy nó với không khí, không khí đó sẽ có khối lượng 1,2 kilogram (2,6 pounds). Vì không khí nổi trong không khí, 1 mét khối không gian đó phải có một lực đẩy lên bằng với trọng lượng của không khí đó. Nếu bạn thay thế khối hình hộp của không khí bằng bất cứ thứ gì khác, không khí bên ngoài vẫn đẩy lên nó với một lực bằng với trọng lượng của không khí bị thay thế. Và nếu bạn thay thế nó bằng một thứ gì đó nhẹ hơn không khí, như helium, không khí đẩy khối hình hộp lên và nó sẽ nổi—đúng như một chiếc đồng hồ cây.
Đa phần những sinh vật có kích thước người không thể nổi mà không có một chiếc đồng hồ cây, tất nhiên. Con người có mật độ rất gần 1.000 kg/m3. Để nổi, bạn sẽ cần có một khối lượng chỉ là 75 gram, hoặc 0,17 pound. Bạn thấy vấn đề rồi. Nhưng đối với Vision, đó không phải là vấn đề gì cả.
Các Phương Pháp Khác

Một số nhân vật trong MCU thực sự không bay kỹ thuật, nhưng họ làm một cái gì đó tương tự. Hãy xem nhân vật Hulk đáng kinh ngạc. Anh ấy thực sự chỉ có ba siêu năng lực: Anh ấy chủ yếu là không thể phá hủy, anh ấy cực kỳ mạnh mẽ—và anh ấy có thể nhảy rất xa. Khi Hulk sử dụng siêu sức mạnh của mình để nhảy cao như một tòa nhà, đó không phải là bay vì không có lực nào giữ anh ấy ở trên không. Anh ấy chỉ bắt đầu với một vận tốc lên trên lớn đến mức mất một thời gian để lực hấp dẫn kéo xuống làm chậm anh ấy lại và đưa anh ấy về đất.
Sau đó là Thor, thần sét người Norse và anh hùng của loạt phim có tên là mình. Tất nhiên, anh ấy cực kỳ mạnh mẽ, nhưng anh ấy cũng sử dụng một cái búa ma thuật có tên là Mjölnir. Thor có thể như bay bằng cách quay búa quanh nhanh chóng và sau đó ném nó trong khi giữ chặt. Cái búa kéo anh ấy lên khỏi mặt đất một cách sao cho nó trông giống như anh ấy đang bay.
Nếu bạn muốn nói rằng anh ấy bay vì sức mạnh ma thuật của Mjölnir, đó là điều tuyệt vời và tôi hoàn toàn chấp nhận lý thuyết đó. Nhưng tôi nghĩ những gì anh ấy đang làm khá tương tự nhảy của Hulk. Trong cả hai trường hợp, anh hùng sử dụng cơ bắp của mình để tăng tốc cho một đối tượng nặng để đưa họ khỏi mặt đất. Trong trường hợp của Thor, đối tượng đó là cái búa. Trong trường hợp của Hulk, đó là khối lượng của anh ấy được tăng tốc để nhảy.
Namor Bay Như Thế Nào?

Bây giờ hãy quay lại với Namor và cánh mắt cá chân nhỏ của anh ấy—hai cái mỗi cá chân. Mặc dù chúng trông giống như cánh chim, nhưng chuyến bay của anh ấy thực sự tương tự như của một chiếc trực thăng. Ở mức đơn giản nhất, một chiếc trực thăng bay bằng cách sử dụng một phương pháp tương tự như một tên lửa—cả hai đều đẩy vật chất xuống để tạo ra một lực đẩy hướng lên. Nhưng thay vì bơi ra nhiên liệu thải như tên lửa, chiếc trực thăng lấy không khí từ trên cánh quạt và đẩy nó xuống để tạo ra sức nâng.
Nhưng Namor có hai vấn đề với cánh của anh ấy. Thứ nhất, chúng quá nhỏ so với khối lượng của anh ấy. Để đưa một con người khỏi mặt đất cần có cánh khổng lồ, một cái gì đó giống như sải cánh 7 mét.
Điều này cũng đòi hỏi một lượng năng lượng khổng lồ. Đơn vị năng lượng mới yêu thích của tôi cho siêu anh hùng là đo lường bằng cách nào họ sẽ phải ăn để thực hiện những cử chỉ mạnh mẽ của họ—cụ thể là bánh mì ăn kèm bơ và mứt. (Dưới đây là ước lượng tôi đã làm trước đó cho Hulk và She-Hulk.) Đối với Namor, tôi sẽ ước lượng thời gian anh ấy có thể bay bằng năng lượng từ việc ăn một bữa PBJ.
Làm thế nào bạn ước lượng năng lượng cần thiết để nổi? May mắn thay, tôi đã thực hiện các phép tính tương tự cho một chiếc trực thăng do con người động cơ, và tôi có thể sử dụng cùng một ý tưởng cơ bản ở đây. Cánh nhỏ của Namor cần đẩy không khí xuống để tạo ra một lực nâng hướng lên từ sự đập cánh. Tốc độ của lực đẩy hướng xuống này phụ thuộc vào khối lượng của Namor và diện tích bề mặt xấp xỉ của cánh.
Đầu tiên, đây là cách bạn sẽ tính tốc độ không khí đó (mà tôi sẽ sử dụng sau để có năng lượng cần để nổi):

Trong biểu thức này, m là khối lượng của Namor. Chúng ta cũng có tổng diện tích của cánh (A), mật độ không khí (ρ), và trường trọng lực (g). Đối với khối lượng, Namor có vẻ là một con người kích thước bình thường với một khối lượng bình thường.
Điều đó có nghĩa là tôi chỉ cần ước lượng kích thước của cánh. Tôi sẽ nói rằng mỗi trong bốn cánh có chiều dài là 10 centimet và chiều rộng là 5 centimet. Điều này có nghĩa là tổng diện tích sẽ là bốn lần chiều dài nhân chiều rộng. Với điều này, tôi có được tốc độ không khí hướng xuống từ cánh ở giá trị 247 mét mỗi giây, hoặc 552 dặm mỗi giờ. Đó là rất nhanh.
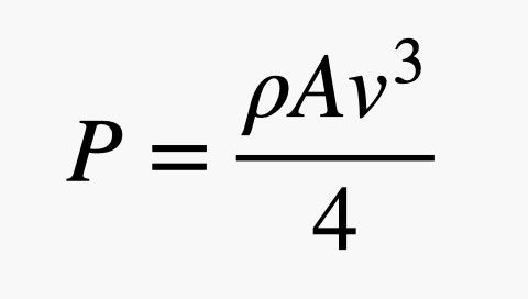
Tiếp theo, tôi có thể tính toán công suất cần thiết để nổi. Chúng ta định nghĩa công suất (P) là năng lượng trên đơn vị thời gian. Tại sao việc nổi lại đòi hỏi năng lượng? Khi cánh đập, chúng đẩy không khí xuống. Điều này khiến không khí chuyển từ tốc độ không đến 247 m/s. Nhưng vì không khí đang thay đổi tốc độ, có một sự thay đổi năng lượng động (1/2mv2), vì vậy điều đó đòi hỏi năng lượng. Thực tế là dễ dàng hơn khi giải quyết vấn đề này theo công suất, với biểu thức sau:

Đặt tất cả các giá trị của tôi vào, sẽ cần 91.000 watt. Chỉ để bạn hiểu rõ hơn, một bóng đèn LED trần sử dụng khoảng 10 đến 20 watt. Một chiếc ô tô điển hình có công suất 150 mã lực, hoặc 112.000 watt. Vì vậy, Namor giống hơn là một chiếc đèn hồng ngoại.
Nhưng còn về bánh mì kẹp? Nếu anh ấy chỉ ăn một bữa, thì anh ấy sẽ được khoảng 380 calo thức ăn, tương đương với 1,59 triệu joules. (Cả joule và calo đều là đơn vị năng lượng.) Vì vậy, tôi có công suất và tôi có năng lượng (ΔE). Tôi chỉ cần giải cho khoảng thời gian (Δt) bằng cách sử dụng định nghĩa của công suất:

Điều này có nghĩa là năng lượng từ một chiếc bánh mì PBJ sẽ cung cấp thời gian bay—trong chế độ đứng yên—là 17,48 giây.
Hãy nói rằng Namor muốn đứng yên trong năm phút trong khi anh ấy thực hiện một bài phát biểu đỉnh cao. Anh ấy cần ăn bao nhiêu chiếc bánh mì? Đặt vào phương trình của tôi, chúng ta có tổng cộng 17 chiếc bánh mì. Và nếu anh ấy muốn bay vô thời hạn, anh ấy sẽ cần ăn ba và một nửa chiếc bánh mì mỗi phút. Chúc may mắn với điều đó.
