Những đặc điểm và cách tính chu vi hình tam giác là kiến thức cơ bản trong hình học. Những thông tin này không chỉ có giá trị học thuật mà còn được ứng dụng rộng rãi trong thực tiễn để đo lường và tính toán chính xác, nhanh chóng. Dưới đây, Mytour sẽ cung cấp các phương pháp tính chu vi cho từng loại tam giác cụ thể, hãy cùng tham khảo.
Cơ bản về hình tam giác
Hình tam giác là một trong những hình học cơ bản có 3 cạnh và 3 góc, và tổng ba góc của nó luôn bằng 180 độ.
Các loại hình tam giác:
- Hình tam giác thường: Là hình có ba cạnh và ba góc không đều nhau.
- Hình tam giác cân: Là hình có hai trong ba cạnh bất kỳ có độ dài bằng nhau, đồng thời hai góc đối diện với các cạnh này cũng có số đo bằng nhau.
- Hình tam giác đều: Là hình có ba cạnh đều bằng nhau và ba góc có số đo bằng nhau, mỗi góc đều bằng 60 độ.
- Hình tam giác vuông: Là hình có một góc vuông, tức góc 90 độ.

Một số khái niệm về các đường đặc biệt trong hình tam giác:
- Đoạn trung tuyến: Là đoạn thẳng nối từ một đỉnh bất kỳ trong tam giác đến trung điểm của cạnh đối diện.
- Đoạn cao: Là đoạn thẳng kẻ từ một đỉnh vuông góc đến cạnh đối diện và tạo ra góc vuông với cạnh đó.
- Đoạn phân giác: Là đoạn thẳng kẻ từ một đỉnh trong tam giác, chia góc tại đỉnh thành hai góc nhỏ bằng nhau, mỗi góc có số đo bằng một nửa góc tại đỉnh.
Dựa trên các đặc điểm và tính chất của hình tam giác, kết hợp với những thông tin đã có, chúng ta có thể dễ dàng áp dụng công thức để tính chu vi của hình tam giác.
Hướng dẫn cách tính chu vi hình tam giác chi tiết
Hình tam giác có thể được phân loại thành nhiều loại khác nhau dựa vào các đặc điểm của cạnh và góc. Tùy vào từng loại, bạn có thể áp dụng các công thức phù hợp để tính chu vi, giúp giải quyết bài toán nhanh chóng và chính xác.
Cách tính chu vi hình tam giác thường
Hình tam giác thường là loại tam giác có ba cạnh và ba góc không giống nhau (hai góc nhọn và một góc tù). Để tính chu vi, bạn chỉ cần cộng độ dài ba cạnh của hình tam giác lại với nhau.
Chu vi = a + b + c
Trong đó:
- P: là chu vi của hình tam giác.
- a, b, c là ba cạnh của hình tam giác, tương ứng với mỗi cạnh.

Lưu ý: Công thức tính chu vi trên áp dụng cho mọi loại hình tam giác, vì vậy bạn có thể sử dụng nó cho bất kỳ bài toán nào để có kết quả chính xác.
Công thức tính chu vi hình tam giác cân
Tam giác cân có hai cạnh đối xứng nhau và hai góc liền kề của chúng cũng bằng nhau. Vì thế, việc tính chu vi của tam giác cân rất dễ dàng như sau:
P = a + a + b
P = 2a + c
Trong đó:
- P: là chu vi của tam giác cân.
- a, b là hai cạnh của tam giác, trong đó a là cạnh có độ dài giống với một trong những cạnh còn lại.
Để đơn giản hóa việc tính chu vi tam giác, bạn nên sử dụng máy tính cầm tay có nhiều chức năng. Hãy tham khảo gian hàng dưới đây của Mytour để tìm mua các mẫu máy tính mini giá ưu đãi phục vụ cho công việc học tập nhé.
Công thức tính chu vi hình tam giác đều
Tam giác đều có ba cạnh và ba góc đều bằng nhau, vì vậy bạn chỉ cần áp dụng công thức sau để tính chu vi của nó:
P = a + a + a
P = 3a
Trong đó:
- P là chu vi của tam giác cân.
- a là độ dài của mỗi cạnh trong tam giác đều.

Những đặc điểm nổi bật của tam giác đều:
- Ba góc trong tam giác đều luôn có giá trị bằng nhau, mỗi góc là 60°.
- Trong tam giác đều, các đường cao, trung tuyến, phân giác và đường trung trực đều trùng nhau và cắt nhau tại một điểm duy nhất gọi là trọng tâm.
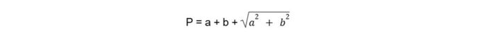
Cách tính chu vi của tam giác vuông
Để tính chu vi của tam giác vuông, bạn có thể áp dụng một trong hai cách sau, với cách đơn giản nhất là sử dụng công thức dưới đây:
P = a + b + c
Trong đó:
- P là chu vi của tam giác vuông.
- a, b, c lần lượt là các cạnh của tam giác vuông.
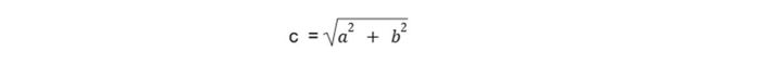
Ngoài ra, trong tam giác vuông, một trong các góc là 90 độ, vì vậy bạn có thể áp dụng định lý Pythagoras với công thức sau:
a2 + b2 = c2
Do đó, ta có:

Áp dụng công thức tính chu vi hình tam giác ở trên, ta có kết quả như sau:

Lưu ý: Công thức trên áp dụng khi bạn chỉ biết hai cạnh vuông góc của tam giác vuông. Nếu biết một cạnh vuông và một cạnh đáy, bạn cũng có thể dùng định lý Pythagoras để tính toán và tìm ra đáp án chính xác.
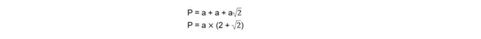
Cách tính chu vi tam giác vuông cân
Tương tự như tam giác vuông, tam giác vuông cân cũng có hai cách tính chu vi, bạn có thể tham khảo các công thức dưới đây:
Phương pháp 1:
P = a + b + c
Trong đó:
- P là chu vi của tam giác.
- a, b, c lần lượt là ba cạnh của tam giác vuông cân.

Phương pháp 2: Áp dụng định lý Pytago như sau:
a2 + b2 = c2
Kết quả: a2 + a2 = c2
Kết luận:

Áp dụng công thức tính chu vi hình tam giác trên, ta có kết quả như sau:

Ví dụ minh họa về cách tính chu vi hình tam giác
Khi đã nắm vững công thức tính chu vi hình tam giác cho từng loại, bạn có thể thử giải các bài tập sau. Đây là các bài toán cơ bản và quen thuộc trong hình học, hãy đọc kỹ đề bài, tự giải và kiểm tra đáp án bên dưới nhé.
Bài tập 1
Bài toán: Cho một tam giác cân có độ dài cạnh đáy là 20 cm và độ dài hai cạnh bên là 12 cm. Tính chu vi của tam giác này.
Giải: Áp dụng công thức tính chu vi của tam giác cân, ta tính được:
P = a + b + c
Vậy ta có: P = 2 x a + c
Kết quả: P = 2 x 12 + 20
Kết quả: P = 44 cm.
Do đó, chu vi của tam giác cân với cạnh đáy dài 20 cm và hai cạnh bên dài 12 cm là 44 cm.
Bài tập 2
Bài toán: Một tam giác đều có mỗi cạnh dài 15 cm. Hãy tính chu vi của tam giác đó.
Giải: Áp dụng công thức tính chu vi cho tam giác đều, ta có:
P = a + b + c
Kết quả: P = 3 x a
Vậy: P = 3 x 15
Do đó: P = 45 cm.
Vì vậy, chu vi của tam giác đều có mỗi cạnh dài 15 cm là 45 cm.

Bài tập 3
Đề bài: Một tam giác vuông với chiều dài hai cạnh vuông góc lần lượt là 12 cm và 16 cm, tính chu vi của tam giác.
Lời giải:
Áp dụng định lý Pytago, ta có:
a2 + b2 = c2

Cách tính chu vi tam giác với 3 cạnh có độ dài lần lượt là 6, 8, 10 như sau:
P = a + b + c
Kết quả: P = 12 + 16 + 20
Vậy ta có: P = 48 cm.
Do đó, chu vi của tam giác vuông có hai cạnh góc vuông dài 12 cm và 16 cm là 48 cm.
Trên đây, Mytour đã chia sẻ với bạn các phương pháp tính chu vi tam giác dựa vào các đặc điểm hình học của từng loại tam giác. Hãy áp dụng những công thức này để giải bài tập hiệu quả, cũng như sử dụng trong thực tế để đạt được kết quả chính xác và nhanh chóng.
