Đừng Nhảy Từ Đá Như Một Kẻ Ngốc—Sử Dụng Vật Lý

Tôi thích dành thời gian ngoài trời khi có thể. Trong chuyến phiêu lưu gần đây, tôi mang theo một vài đứa trẻ để khám phá một số đường dẫn gần nhà mẹ tôi. Nơi này khá đẹp, có một hồ với một số vách đá bạn có thể dạo bộ dọc theo. Lưu ý: Đừng nhảy từ vách đá xuống nước—có một khoản phạt 500 đô la cho việc đó (ít nhất là như biển báo nói).
Khi chúng tôi đứng gần mép một trong những tảng đá này, con gái tôi nói rằng nảy xuống không hẳn là điều tồi tệ—đó không phải là cao lắm. Tôi khá chắc rằng nó cao hơn như cô nghĩ. Nhưng tôi không chỉ cần đoán; chúng ta có thể đo chiều cao với chỉ một tảng đá, chiếc điện thoại của tôi và vật lý.
Đây là cách bạn làm. Lấy điện thoại của bạn và chuẩn bị quay video. Bây giờ hãy để tảng đá rơi tự do để nó rơi vào nước. Nếu bạn phải ném tảng đá, cũng được, miễn là bạn chỉ ném nó theo chiều ngang. Đừng ném lên hoặc xuống—điều này sẽ tạo ra một đo lường không chính xác về chiều cao. Điều duy nhất bạn cần từ video là thời gian mà tảng đá mất và chạm vào nước. Từ thời gian này, chúng ta có thể tính toán chiều cao.
Đối với vách đá của tôi, tôi có thời gian rơi tự do là 1,3 giây (tôi lấy điều này bằng phần mềm Tracker Video Analysis—nhưng có nhiều chương trình khác để lấy thời gian).

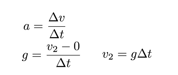
Sau khi bạn buông tảng đá, thực sự chỉ có một lực tác động lên nó—lực hấp dẫn. Đây là một lực phụ thuộc vào khối lượng của tảng đá và trường trọng lực (có giá trị trên bề mặt Trái Đất là 9,8 Newton/kg). Chúng ta thường sử dụng biểu tượng g để đại diện cho giá trị này. Vì chỉ có một lực tác động lên tảng đá, nó sẽ tiếp tục tăng tốc—đó là điều mà lực tác động không đổi làm cho một đối tượng. Gia tốc của một đối tượng phụ thuộc vào cả lực và khối lượng. Vì cả lực và gia tốc đều phụ thuộc vào khối lượng, trong trường hợp này nó sẽ loại bỏ và bạn sẽ có một gia tốc là g m/s2 theo hướng dọc. Đó là lý do tại sao những tảng đá có khối lượng khác nhau sẽ chạm vào nước cùng một lúc (giả sử lực kháng không đáng kể).
Bây giờ chúng ta biết gia tốc của tảng đá đang rơi. Gia tốc mô tả tốc độ thay đổi. Trong trường hợp này, vận tốc ban đầu là không m/s và vận tốc cuối cùng là không biết. Điều này có nghĩa là tôi có thể sử dụng gia tốc để tìm một biểu thức cho vận tốc cuối cùng (mặc dù thực sự tôi không quan tâm lắm đến điều này). Ó, tôi sẽ gọi hướng xuống là hướng dương chỉ vì vui thú và vì hệ tọa độ không thực sự tồn tại.

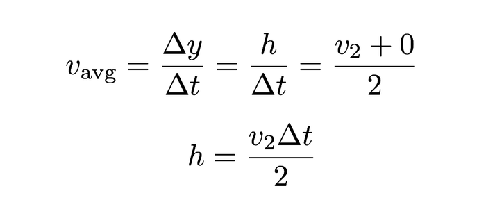
Nếu điều đó làm bạn vui, bạn có thể nhập giá trị thời gian của tảng đá và g—nhưng bạn không cần phải làm điều đó ngay bây giờ. Thay vào đó, tôi sẽ sử dụng định nghĩa của vận tốc trung bình (trong một chiều). Thực sự, có hai định nghĩa của vận tốc trung bình. Có tỷ lệ thay đổi của vị trí và có vận tốc trung bình thực tế.

Bạn có thể dừng lại ở đây nếu bạn đã tính toán được vận tốc cuối cùng của tảng đá—nhưng tôi chưa làm điều đó. Thay vào đó, tôi có thể đưa biểu thức của mình cho vận tốc này vào phương trình cho chiều cao và tôi có được.

Boom. Đây là câu trả lời của tôi. Tôi sẽ đặt giá trị 1,3 giây cho thời gian và 9,8 cho g và tôi có một chiều cao vách đá là 8,28 mét (hoặc 27,2 feet). Đó khá cao—tôi chắc chắn nó cao hơn so với suy đoán của con gái tôi.
Nhưng đợi chút! Tại sao tôi không làm ngắn gọn toàn bộ thứ này và sử dụng các phương trình động học để tìm chiều cao? Ồ, đó là điều tôi đã làm. Tuy nhiên, tôi không chỉ sử dụng phương trình cuối cùng mà tôi cũng đã cho bạn biết phương trình đó đến từ đâu. Xem—vật lý tình cờ.
Lưu ý: Nếu bạn lấy một tảng đá nhỏ và để nó rơi, điều này có thể không hoạt động. Tỷ lệ khối lượng đến diện tích bề mặt cho những tảng đá siêu nhỏ có nghĩa là lực kháng không sẽ là một lực đáng kể và tảng đá sẽ không rơi với gia tốc không đổi. Thay vào đó, hãy lấy một tảng đá đủ lớn để ném. Ôi, đảm bảo không ai đứng dưới bạn—bị đánh bởi một tảng đá là điều tồi tệ.
