Tính Toán Tốc Độ Di Chuyển Nhanh Như Chớp Xanh trong X-Men Apocalypse
[#video: https://www.youtube.com/embed/2vG9UTTPneQ
Tốc độ của nhân vật X-Men, Quicksilver, còn được biết đến là Peter Maximoff (và là con trai của Magneto), đã trở thành đề tài nổi bật trong các cuộc tranh luận tại quán truyện tranh—nếu như có một quán truyện tranh. Nếu có, tôi phải đến đó ngay lập tức.
Chúng ta có thể cố gắng trả lời câu hỏi này bằng cách bắt đầu từ một đoạn trong bộ phim năm 2016 X-Men: Apocalypse. Trong đó, Quicksilver đến trường trung học của Xavier (ngôi trường của X-Men). Ngay khi anh ấy đến, anh ấy nhận ra rằng nó đang chuẩn bị nổ tung. Điều này có nghĩa là Peter phải cứu tất cả mọi người. Anh ấy thực hiện nhiều chuyến đi vào và ra khỏi tòa nhà để đưa sinh viên ra khỏi nguy hiểm. Và đây là nơi tôi sẽ ước lượng về tốc độ của anh ấy.
Bình luận đề phòng. Vâng, tôi biết đó chỉ là một bộ phim. Vâng, tôi biết nó không thực tế. Nhưng tôi không quan tâm. Đây là cách tôi thể hiện sự đánh giá của mình đối với các bộ phim siêu anh hùng, bằng cách áp dụng những động tác vật lý. Đó là điều tôi làm.
Tính Toán Tốc Độ
Giả sử tôi chạy qua sân, chạm vào một cái cây và sau đó quay lại nơi tôi bắt đầu. Nếu tôi biết thời gian mà điều này mất và tổng quãng đường, tôi có thể tính tốc độ trung bình như sau:

Dường như đơn giản, nhưng tôi cần phải chỉ ra rằng đây là tốc độ trung bình. Đó là những gì bạn nhận được khi chia quãng đường đã đi (Δs) cho thời gian mất (Δt). Đừng nhầm lẫn với vận tốc trung bình. Thông thường, khi chúng ta nói về vận tốc trung bình, chúng ta đang nói về vận tốc vector. Điều này phụ thuộc vào vị trí khởi đầu và kết thúc của chuyển động. Nếu tôi chạy đến cái cây và quay lại, vận tốc trung bình của tôi sẽ là vector zero.
Bây giờ tôi chỉ cần ước lượng khoảng cách và thời gian là có thể biết được tốc độ trung bình của Quicksilver. Tất nhiên, nghe có vẻ đơn giản, nhưng có một số vấn đề. Tôi sẽ cần phải ước lượng một số điều như:
- Tổng thời gian mà Quicksilver dùng để cứu tất cả mọi người.
- Số lần anh ấy đi vào và ra khỏi X-Men Mansion.
- Tỉ lệ thời gian anh ấy chạy so với thời gian anh ấy chỉ làm những điệu độ ngốc nghếch và chơi với đồ vật.
Hãy bắt đầu với ước lượng dễ nhất—thời gian. Quicksilver có vẻ (bằng cách nào đó) nhận ra vụ nổ ngay khi nó bắt đầu bên trong biệt thự. Tôi không biết làm thế nào anh ấy biết nó đã nổ. Anh ấy không thể nghe thấy vì âm thanh sẽ đi cùng sóng sốc. Ngoài ra, anh ấy không thể nhìn thấy vụ nổ vì nó xảy ra bên trong biệt thự. Nhưng thôi, tôi đoán nó cũng không quan trọng. Nhưng vẫn có một điều—tổng thời gian phải là thời gian mà sóng sốc từ vụ nổ mở rộng ra sân ngoại. Đó là khoảng thời gian Quicksilver có để đưa mọi người ra khỏi đó.
Vậy, một vụ nổ diễn ra nhanh đến mức nào? Tất nhiên, đây không phải là một vụ nổ thông thường. Nó có liên quan một cách nào đó đến kẻ thù của anh ấy, Apocalypse—nó không phải là một chất nổ dựa trên hóa học thông thường. Nhưng mà, đó là một nơi tốt để bắt đầu. Tốc độ mở rộng của sóng sốc được gọi là tốc độ nổ. May mắn thay, Wikipedia có một bảng về tốc độ nổ.
Vận tốc nổ chậm nhất là từ nitrat ammonium với vận tốc 2700 m/s và cao nhất (DDF) là khoảng 10,000 m/s. Để đáp ứng dải tốc độ này, tôi sẽ sử dụng vận tốc nổ là 6000 +/- 3000 mét mỗi giây. Dấu "+/-" có nghĩa là "cộng hoặc trừ," để hiển thị phạm vi không chắc chắn. Tôi sẽ sử dụng điều này cho tất cả các ước lượng của mình.
Bây giờ tôi cần khoảng cách của vụ nổ. Hãy gọi điều này là dy (cho khoảng cách đến sân). Tôi không biết biệt thự này ở đâu, nên tôi chỉ đoán rằng khoảng cách là 100 +/- 50 mét. Để rõ ràng, với ký hiệu này có nghĩa là khoảng cách thực sự đến sân nằm giữa 50 mét và 150 mét. Tôi có thể kết hợp hai ước lượng này để có thời gian cứu tất cả.

Tôi không sẽ điền giá trị ngay bây giờ. Tôi sẽ làm điều đó ở cuối cùng. Nhưng điều tiếp theo tôi cần ước lượng là tổng số lần Quicksilver đi vào và ra khỏi biệt thự. Điều này không quá khó khăn, vì bạn chỉ cần xem đoạn clip và đếm số lần anh ấy nắm lấy ai đó (đôi khi anh ấy nắm lấy hai người). Sử dụng ngón tay và ngón chân của mình, tôi đếm được 21 lần. Tôi sẽ gọi biến này là N và để nó bằng 21 +/- 1 (trong trường hợp tôi thêm một hoặc bỏ lỡ một).
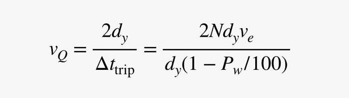
Bây giờ khi tôi có số lần đi, khoảng cách của mỗi chuyến đi (đến sân), và tổng thời gian, tôi đã có gần như tất cả mọi thứ cần thiết. Tôi có thể chia tổng thời gian vụ nổ cho số chuyến đi để có thời gian cho một chuyến đi. Vấn đề duy nhất là điều này không hoạt động hoàn toàn. Quicksilver phải hành động như một đứa trẻ và dừng lại chơi với đồ vật trong khi cứu người. Tôi không thể ước lượng thời gian anh ấy lãng phí vì bộ phim đang chạy ở chế độ bình thường. Thay vào đó, tôi sẽ ước lượng phần trăm của tổng thời gian bị lãng phí. Hãy gọi điều này là Pw (phần trăm bị lãng phí) với giá trị là 10 +/- 10 phần trăm. Điều này có nghĩa là thời gian cho một chuyến đi vào và ra khỏi biệt thự có thể được tính như sau:

Bây giờ là biểu thức cuối cùng. Đây là điều bạn đã đợi chờ. Đây là biểu thức cho tốc độ của Quicksilver.

Đó là một phương trình đẹp. Tôi thích nó. Bạn có để ý điều gì ở đây không? Khoảng cách đến sân không quan trọng (nó sẽ bị loại bỏ). Vì cả thời gian tổng cộng và khoảng cách tổng cộng phụ thuộc vào khoảng cách này, nó không ảnh hưởng đến tốc độ trung bình. Xem đi—chúng ta đã ước lượng nó không đáng kể.
Nhưng đây là phần tốt nhất. Bây giờ khi tôi có cả ước lượng và sự không chắc chắn cho ước lượng, tôi có thể có giá trị cho tốc độ của Quicksilver VỚI SỰ KHÔNG CHẮC CHẮN. Đúng, tôi có thể có một phạm vi cho tốc độ của anh ấy. Điều này sẽ tuyệt vời. Vậy, làm thế nào bạn tính toán tốc độ khi các lượng có sự không chắc chắn? Đây là cơn ác mộng của khóa học vật lý giới thiệu của bạn. Nhưng đợi chút. Tôi sẽ làm cho nó đơn giản. Tôi sẽ sử dụng phương pháp "vặn ba lần" để tính toán sự không chắc chắn. Dưới đây là cách nó hoạt động.
- Tính toán tốc độ. Bỏ qua mọi thứ về không chắc chắn.
- Tính tốc độ tối thiểu. Sử dụng các giá trị để đưa ra tốc độ thấp nhất có thể. Lưu ý rằng nếu bạn chia cho thời gian, bạn sẽ sử dụng thời gian lớn nhất có thể để có được tốc độ nhỏ nhất có thể.
- Tính tốc độ tối đa. Điều này giống như tốc độ tối thiểu—nó chỉ là tối đa.
Đối với câu trả lời cuối cùng, tôi sẽ báo cáo về tốc độ thuần túy, và sự không chắc chắn trong tốc độ này sẽ là trung bình của sự chênh lệch giữa giá trị tối đa và tối thiểu. Đó là nó. Hãy làm điều đó. Tất nhiên, tôi sẽ viết điều này dưới dạng một đoạn mã Python—cả vì nó dễ dàng và vì điều đó có nghĩa là bạn có thể thay đổi các giá trị nếu bạn muốn (tôi biết bạn muốn thay đổi nó).
OK, để rõ ràng. Điều đó đưa ra cho Quicksilver một tốc độ là 280 +/- 188 kilomet mỗi giây (hoặc, nếu bạn cứ khăng khăng nghĩ về dặm mỗi giây, 174 +/- 117 mps). Đúng, đó là nhanh hơn nhiều so với tốc độ âm thanh, nhưng chậm hơn rất nhiều so với tốc độ ánh sáng. Đó là khoảng phạm vi tốc độ đúng. Nhưng đợi chút. Còn quá nhiều câu hỏi chưa được trả lời. Dưới đây là một số câu hỏi bài tập về nhà.
Bài Tập về Nhà
- Ước lượng gia tốc của Quicksilver khi anh ấy chạy nhanh và sau đó dừng lại. Tìm giá trị của gia tốc này theo đơn vị "g" nơi 1 g = 9.8 m/s2.
- Tại một thời điểm, Quicksilver ném một số người qua cửa sổ. Họ sẽ cần được ném với tốc độ và góc nào?
- Ước lượng gia tốc của những người bị ném từ cửa sổ khi chúng va chạm với rèm (đỡ họ).
- Còn những tốc độ tính toán khác của Quicksilver từ các cảnh khác? Gợi ý: Tôi biết điều này có sẵn vì tôi đã viết nó—nhưng bạn phải tìm kiếm nó. À, còn Flash thì sao? Anh ta chạy nhanh như thế nào?
- Ở đầu cảnh, Quicksilver đang ăn một chiếc Twinkie. Anh ấy sẽ cần ăn bao nhiêu chiếc Twinkie để có đủ năng lượng để cứu tất cả mọi người?
- Còn về kháng lực không khí? Ước lượng sức đề kháng không khí đối với một người chạy nhanh như vậy.
- Anh ấy cũng bỏ chiếc Twinkie ở đầu cảnh. Dường như nó chỉ đứng yên trong không khí—nhưng không phải vậy. Không, nó đang rơi nhưng mọi thứ đang chạy ở chế độ siêu chậm. Sử dụng điều này để ước lượng tỉ lệ chậm của bộ phim.
- Ước lượng hệ số ma sát tĩnh giữa Quicksilver và mặt đất để có thể chạy như anh ấy làm.
Một điểm cuối cùng. Tôi không nghĩ Quicksilver chạy nhanh. Thay vào đó, tôi nghĩ anh ấy có khả năng kiểm soát thời gian. Anh ấy có thể làm cho thời gian chậm lại xung quanh anh ta sao cho nó trông như anh ta đang chạy nhanh. Điều đó có nghĩa là anh ấy không cần phải có gia tốc cực cao hoặc hệ số ma sát và những thứ khác. Nhưng ai quan tâm cách anh ta hoạt động. Anh ta vẫn là một siêu anh hùng.
Những bài viết tuyệt vời khác từ MYTOUR
- Gấp đôi các khối xây dựng DNA có thể dẫn đến các hình thức sống mới
- Instacart cung cấp, nhưng tách chúng ta khỏi thức ăn của chúng ta
- Hướng dẫn MYTOUR về dữ liệu cá nhân của bạn (và ai đang sử dụng nó)
- Bạn có sẵn lòng trả $6,000 cho VR chất lượng thị lực không?
- Khiếu nại về siêu mắt có thể giúp chữa trị mù màu
- 👀 Bạn đang tìm kiếm những thiết bị công nghệ mới nhất? Hãy kiểm tra các hướng dẫn mua sắm và ưu đãi tốt nhất của chúng tôi suốt cả năm
- 📩 Muốn biết thêm? Đăng ký bản tin hàng ngày của chúng tôi và đừng bao giờ bỏ lỡ những câu chuyện tuyệt vời nhất của chúng tôi
