Xe ô tô trên một chiếc giường nhảy: Nhiều trải nghiệm với Năng lượng Động học
Oh, chắc chắn, bạn đã thấy một quả dưa hấu rơi từ ban công xuống một chiếc giường nhảy. Nhưng điều gì xảy ra khi bạn thả một xe hơi từ một tòa nhà cao xuống một chiếc giường nhảy? Đó là một cấp độ mới hoàn toàn về sự vui vẻ vật lý, và đó chính xác là điều xảy ra trong video này từ Mark Rober và các chàng trai của How Ridiculous.
Đầu tiên, họ đã xây dựng chiếc giường nhảy quái vật của riêng họ với các tấm kevlar chống đạn chồng chéo cho lớp đệm, được hỗ trợ bởi một khung thép dày và 144 lò xo cửa garage cũ lớn. Sau đó, họ đã thử nghiệm nó với một loạt các vật khác nhau, thả một bao tải dưa hấu, 20 quả bóng bowling và một viên đá Atlas nặng 66 pounds xuống một giường bóng nước. Phần thả xe hơi xảy ra gần cuối video, bắt đầu từ phút 9:20.
Ngay cả khi bạn không nghĩ rằng điều này tuyệt vời (nào, nó đã được chứng minh là tuyệt vời một cách chứng thực), nó vẫn là một nguồn tuyệt vời cho một số vấn đề vật lý bạn có thể giải quyết tại nhà, trong khi chúng ta đang thực hiện việc cách ly xã hội này. Tôi sẽ giải quyết một số vấn đề này cho bạn - và tôi sẽ giả vờ như tôi đang làm chúng như là ví dụ. Sự thật? Tôi không thể kiềm chế được; tôi chỉ đơn giản là yêu thích vật lý.
1. Cao cao của việc rơi?
Bạn có thể nói từ video rằng xe ô tô rơi xuống trước khi đụng vào chiếc giường nhảy không? Đây là câu hỏi tốt nhất, và tôi sẽ làm hỏng nó bằng cách đưa cho bạn câu trả lời. Vì vậy, tạm dừng ở đây nếu bạn muốn thử trước bằng chính mình.
Sẵn sàng chưa? Nếu bạn hiểu về vật lý, bạn sẽ nhận ra rằng để tìm khoảng cách, bạn chỉ cần đo thời gian rơi tự do.
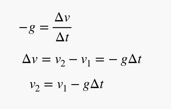
Hãy bắt đầu từ cơ bản. Khi một vật rời khỏi tay của người, lực duy nhất tác động lên nó là lực hấp dẫn xuống. Độ lớn của lực này là tích của khối lượng của nó (m) và trường trọng lực (g = 9.8 N/kg). Khi gia tốc của một vật cũng phụ thuộc vào khối lượng, tất cả các vật rơi tự do đều có gia tốc xuống như nhau là 9.8 m/s2. Nhưng mối liên kết giữa thời gian rơi và chiều cao là gì? Tôi sẽ suy ra điều này—và không, tôi sẽ không chỉ nói "Sử dụng một phương trình động học."
Định nghĩa về gia tốc trong một chiều là sự thay đổi về vận tốc (Δv) chia cho sự thay đổi về thời gian (Δt). Nếu tôi biết thời gian đã trôi qua (tôi có thể lấy từ video), và tôi biết về gia tốc (bởi vì điều này diễn ra trên Trái Đất), thì tôi có thể giải được sự thay đổi về vận tốc. Lưu ý, tôi đang sử dụng âm g cho gia tốc, vì nó đang di chuyển xuống.

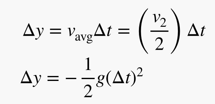
Trong biểu thức này, v1 là vận tốc ban đầu của vật thể, trong trường hợp này là không, và v2 là vận tốc cuối cùng. Bây giờ đến định nghĩa khác—vận tốc trung bình (trong một chiều) có dạng như thế này, trong đó (Δy) là sự thay đổi về vị trí theo chiều dọc:

Đối với một vật thể có gia tốc không đổi (như chúng ta có ở đây), vận tốc trung bình đơn giản chỉ là tổng của vận tốc ban đầu và vận tốc cuối cùng chia cho hai—nó đơn giản là trung bình cộng của các vận tốc. Và vì vận tốc ban đầu là không, vận tốc trung bình chỉ là một nửa của vận tốc cuối cùng. Tôi có thể sử dụng điều này để tìm sự thay đổi về vị trí, tức là khoảng cách nó rơi:

Đúng, sự thay đổi về vị trí theo trục y là âm, vì vật thể đang di chuyển xuống. Tất cả những gì còn lại là thời gian. Tôi đã xem phần video với những quả dưa hấu bị thả xuống. Một số cảnh được quay bằng chế độ chậm, nhưng một số khác dường như diễn ra trong thời gian thực. Tôi có thể lấy thời gian rơi từ những cảnh đó.
Bạn có thể thử sử dụng dấu thời gian trên YouTube để làm điều này, nhưng nó không đủ chi tiết. Tôi thích sử dụng công cụ phân tích video Tracker—đó là công cụ mà tôi thường dùng cho loại công việc này (và nó miễn phí). Từ đó, tôi thu được thời gian rơi là 2.749 giây. Khi sử dụng giá trị này vào phương trình trên, tôi có chiều cao rơi là 37.0 mét (121.5 feet). Đó là một câu hỏi được giải quyết.
2. Vận tốc tác động là bao nhiêu?
Nếu bạn thả một vật từ tĩnh (tức là, vận tốc ban đầu bằng không), nó sẽ di chuyển với tốc độ bao nhiêu khi đúng trước khi chạm vào chiếc giường nhảy? Ôi, bạn nghĩ tôi cũng sẽ trả lời câu hỏi này chứ? Không đâu. Thực ra, câu hỏi này không quá khó. Bạn có thể sử dụng thời gian và định nghĩa của gia tốc để tìm câu trả lời này. Bạn có thể làm được. Tôi tin bạn.
3. Hằng số lò xo hiệu quả là bao nhiêu?
Hãy đi từ đầu đến cuối quá trình này. Chiếc xe rơi xuống. Trong quá trình rơi, lực hấp dẫn tác động lên nó, làm cho nó tăng tốc, càng nhanh càng tới khi nó tiếp xúc với chiếc giường nhảy. Lúc này, những lò xo trên chiếc giường nhảy bị căng và tạo ra một lực đẩy lên đối với chiếc xe. Càng căng lò xo ra, lực đẩy lên càng lớn.
Hãy nhớ rằng để một vật chậm lại, cần có một lực ròng đẩy theo hướng ngược lại với hướng chuyển động. Khi chiếc xe đầu tiên chạm vào chiếc giường nhảy, lực đẩy ngược lại ít hơn lực hấp dẫn, vì vậy lực ròng vẫn còn hướng xuống và chiếc xe vẫn tiếp tục tăng tốc. Điều này thường là điều mà sinh viên thường không có trực giác tốt. Hãy nhớ, là lực ròng quyết định gia tốc.
Cho đến khi lực từ lò xo lớn hơn lực hấp dẫn hướng xuống, chiếc xe mới bắt đầu chậm lại. Tất nhiên, nó vẫn đang di chuyển xuống, vì vậy lò xo căng ra thậm chí nhiều hơn nữa, và điều này làm tăng lực từ lò xo. Cuối cùng, chiếc xe ngừng rơi và bắt đầu di chuyển lên trên.
Bây giờ, làm sao để chúng ta đo lường được điều đó? Một cách để mô hình lực từ lò xo là sử dụng Định luật Hooke. Điều này nói rằng lực từ lò xo (Fs) tỉ lệ thuận với khoảng cách (s) mà lò xo căng hoặc nén. Hằng số tỉ lệ này được gọi là hằng số lò xo, k. Bạn có thể coi k như là độ cứng của lò xo.

Thực ra, chúng ta không thể áp dụng mô hình này trực tiếp vào chiếc giường nhảy của chúng ta, vì nó giả định rằng những lò xo nằm trong đường đi của chiếc xe. Trên thực tế, nếu chiếc xe di chuyển xuống 10 cm, những lò xo căng ra thậm chí nhiều hơn vậy, do hình học của tình huống. Nhưng đừng lo, chúng ta có thể giả vờ mọi thứ chỉ diễn ra trong một chiều, và điều đó sẽ cho chúng ta một hằng số lò xo hiệu quả tổng thể. Điều này khiến vấn đề trở nên như sau:

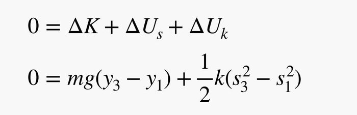
Bây giờ chúng ta có thể tìm một biểu thức cho hằng số lò xo k bằng cách sử dụng nguyên lý năng lượng làm việc. Nguyên lý này nói rằng công làm trên một hệ thống bằng với sự thay đổi năng lượng trong hệ thống đó. Vì vậy, nếu chúng ta xác định hệ thống của chúng ta bao gồm Trái Đất, chiếc xe và lò xo, không có tương tác bên ngoài trong hệ thống và do đó không có công nào được thực hiện. Điều đó có nghĩa là tổng năng lượng phải không đổi—năng lượng được bảo toàn.
Đối với hệ thống này, thực sự chỉ có ba loại năng lượng được liên quan. Đây là các phương trình cho những năng lượng này cùng với các giải thích dưới đây:

Năng lượng động (K): Đây là năng lượng mà một vật có khi nó đang di chuyển. Năng lượng động phụ thuộc vào cả khối lượng của vật và vận tốc của nó.
Năng lượng tiềm năng hấp dẫn (Ug): Khi hai vật tương tác với nhau về mặt hấp dẫn (như chiếc xe và Trái Đất), có một năng lượng tiềm năng liên quan đến vị trí của chúng. Trên bề mặt Trái Đất, chúng ta có thể xấp xỉ rằng điều này tỉ lệ với khối lượng của chiếc xe và một vị trí dọc tùy ý. (Đừng lo lắng về vị trí này; chỉ có sự thay đổi về vị trí mới quan trọng.)
Năng lượng tiềm năng co dãn (Us): Còn được gọi là năng lượng tiềm năng của lò xo. Điều này phụ thuộc vào cả lượng mà lò xo bị nén hoặc căng ra và hằng số lò xo. Đây chính là cách chúng ta sẽ có được một biểu thức cho độ cứng của lò xo.
Bạn biết điều tuyệt vời ở việc sử dụng nguyên lý năng lượng làm việc là gì không? Tôi có thể chỉ nhìn vào sự thay đổi từ một trạng thái này sang trạng thái khác và bỏ qua tất cả mọi thứ ở giữa. Điều này có nghĩa là tôi có thể bắt đầu với chiếc xe đứng yên (ở đỉnh điểm rơi) và kết thúc với chiếc xe ở dưới đáy lò xo (lại đứng yên). Tôi không cần phải biết chiếc xe di chuyển nhanh đến mức nào ở các điểm giữa đó—điều đó không quan trọng. Kết hợp tất cả điều này lại, tôi có được kết quả sau đây.

Chỉ là một số lưu ý. Tôi sử dụng chỉ số 1 cho vị trí và vận tốc ở đỉnh điểm rơi, và chỉ số 3 cho đáy (Giai đoạn 2 là khi nó đụng vào lò xo). Ở cả hai vị trí này, năng lượng động bằng không. Điều đó có nghĩa là sự thay đổi năng lượng động cũng bằng không. Sự thay đổi cao độ (y3 – y1) chỉ là –h (từ biểu đồ ở trên). Đối với đoạn căng tại đầu điểm rơi (s1), điều này chỉ là không, vì lò xo chưa bị nén. Bây giờ tôi có thể sử dụng điều này (cùng với ký hiệu từ biểu đồ của tôi) để giải cho hằng số lò xo, k.

Đó là một số tiến triển. Tất cả chúng ta cần bây giờ là khoảng cách căng s (khoảng cách trampoline di chuyển xuống) và khối lượng của chiếc xe. Khoảng cách căng không nên quá khó để ước tính—nó có vẻ khoảng 1.5 mét.
Nhưng còn khối lượng thì sao? Mark nói anh đã điều chỉnh khối lượng của chiếc xe, nhưng anh không nói khối lượng thu được là bao nhiêu. Ồ, tôi có thể chỉ cần hỏi anh ấy? Không. Điều đó chán quá. Hãy cố gắng đoán một con số tốt cho khối lượng để hoàn thành câu hỏi.
4. Tính lực đàn hồi thực sự của lò xo trampoline.
OK, chúng ta đã giả định ở trên rằng các lò xo nằm cùng một đường với hành động của chiếc xe, nhưng điều đó rõ ràng không đúng. Điều tuyệt vời về một chiếc trampoline là các lò xo căng ra một khoảng cách khác với khoảng cách mà trampoline di chuyển xuống. Hãy tạo một trampoline đơn giản rất nhanh để chúng ta có thể hiểu được điều gì đang xảy ra.
Phiên bản này có một thanh ngang được hỗ trợ bởi hai lò xo ngang. Khi một khối lượng đặt trên thanh ngang, nó sẽ di chuyển xuống và căng ra lò xo. Dưới đây là biểu đồ:

Một vài điều chúng ta cần xem xét: Đầu tiên, nếu trampoline di chuyển xuống một khoảng cách y, lò xo (với chiều dài không bị căng là L0) sẽ căng ra bao nhiêu? Điều đó không quá khó để tính toán từ biểu đồ.
Thứ hai, thành phần nào của lực của lò xo này hướng lên trên? Lò xo bên trái tạo ra một lực kéo lên và sang trái, trong khi lò xo bên phải kéo lên và sang phải. Nếu lò xo bằng nhau, các thành phần ngang của các lực lò xo này sẽ huỷ bỏ nhau và chúng ta chỉ còn lại thành phần hướng lên. Nhưng độ lớn của nó phụ thuộc vào góc của lò xo so với đường ngang (θ trong biểu đồ của tôi).
Sau đây là những gì bạn có thể làm tiếp theo: Chỉ cần chọn một số giá trị cho hằng số lò xo và độ dài không bị căng. Bây giờ vẽ biểu đồ lực lò xo dọc net theo vị trí dọc. Biểu đồ này có phải là đồ thị tuyến tính không? Đó là điều bạn mong đợi từ một lò xo Hooke đơn lẻ. Thực ra, tôi không chắc bạn sẽ thu được kết quả gì—đó là lý do tại sao đây là một câu hỏi bài tập hay.
Mặc dù tôi đã dẫn ra một biểu thức cho hằng số lò xo hiệu quả của chiếc trampoline, nhưng tôi không thu được giá trị số. Nếu bạn muốn ước lượng độ cứng hiệu quả này một cách sơ bộ, bạn có thể bắt đầu với 144 lò xo cửa garages. Bạn có thể ước tính độ dài không bị căng (có thể khoảng 75 centimet). Tôi không chắc về hằng số lò xo cửa garages. Họ nói đây là những lò xo "450-pound", nhưng không rõ đó là gì. Chỉ là đoán mò thôi.
Sau khi bạn có hằng số lò xo hiệu quả (hoặc một lực theo hàm của khoảng cách), bạn có thể quay lại vấn đề trước đó và giải quyết cho khối lượng của chiếc xe. Điều này sẽ tuyệt vời. Đừng gian lận và hỏi Mark.
5. Trọng tâm của xe ô tô ở đâu?
Tôi không biết họ đã thả loại xe nào. Có lẽ đó là một mẫu xe Úc? Nhưng tôi biết họ đã thay đổi khối lượng, và nghi ngờ của tôi là họ đã làm điều đó bằng cách loại bỏ động cơ. Làm như vậy có thể làm cho pha mạo hiểm này dễ dàng hơn—không có động cơ, nó có thể dễ dàng rơi vào tư thế "bánh xe lên" mà không quay vòng.
Tại sao tôi nghĩ như vậy? Bởi vì về trọng tâm. Trọng tâm của một đối tượng là điểm mà bạn có thể giả sử có một lực hấp dẫn duy nhất đang tác động lên nó. Tất nhiên, chiếc xe ô tô được tạo thành từ một loạt các mảnh nhỏ, và mỗi mảnh tương tác với Trái Đất theo lực hấp dẫn. Nhưng việc xử lý tất cả những lực này như chỉ một lực là đơn giản hơn. Và khi bạn có một lực duy nhất, bạn cần một vị trí duy nhất cho lực đó—đó chính là trọng tâm.
Hầu hết các xe ô tô có trọng tâm không ở chính giữa. Đó là bởi vì có một phần tử ô tô rất nặng gọi là động cơ, làm cho trọng tâm dịch chuyển về phía trước. Nhưng nếu bạn treo một chiếc xe ô tô từ một dây cáp? Để ngăn nó quay vòng, cả lực căng từ dây cáp và lực hấp dẫn phải đi qua cùng một điểm, để chúng không tạo ra mô-men xoắn. Điều đó có nghĩa là bạn có thể vẽ một đường từ dây cáp thông qua xe ô tô và nó sẽ đi qua trọng tâm.
Dưới đây là một bức ảnh về chiếc xe treo đó:

Nếu bạn sử dụng ba điểm gắn (như được thấy trong hình ảnh), chiếc xe vẫn có thể xoay một chút để trọng tâm cùng hàng với dây cáp chính, nhưng nó sẽ không dao động nhiều. Bây giờ đến phần bài tập về nhà. Ước tính vị trí của trọng tâm và xem nó sẽ di chuyển về phía trước bao nhiêu nếu bạn đặt lại động cơ.
6. Có sự cản trở từ không khí có quan trọng không?
Ồ, bạn không muốn có thêm câu hỏi bài tập nữa à? Xui quá.
Khi chiếc xe đang rơi, phân tích trước đó của tôi giả định rằng lực duy nhất tác động lên nó là trọng lực. Điều đó có hợp lý không? Rõ ràng điều này không hoàn toàn đúng, nhưng có thể là được. Khi chiếc xe rơi, nó di chuyển qua không khí. Vì phải đẩy không khí ra khỏi đường đi, không khí lại đẩy ngược lại xe. Đó chính là bản chất của lực cản không khí. Đó là một lực ngược hướng với vận tốc và thường được mô hình hoá bằng phương trình sau:

Trong mô hình này, ρ là khối lượng riêng của không khí, A là diện tích cắt ngang, C là hệ số cản khí phụ thuộc vào hình dạng, và tất nhiên là v là vận tốc.
Nếu bạn muốn thực sự mô phỏng chuyển động của một vật rơi với sự cản trở từ không khí, mọi thứ có thể trở nên phức tạp. Khi chiếc xe thay đổi vận tốc, và lực cản không khí phụ thuộc vào vận tốc, bạn không thể sử dụng những giả định đơn giản như trước đây. Thực sự, cách tốt nhất để giải quyết vấn đề này là chia nhỏ thành các bước thời gian nhỏ và sử dụng tính toán số học. Dưới đây là một ví dụ về điều đó.
Nhưng tôi khá chắc chắn rằng chúng ta có thể bỏ qua lực cản không khí ở đây. Đây là lý do: Chiều cao được liệt kê của tháp là 45 mét. Khi lực cản không khí nằm ngược hướng với lực hấp dẫn, một lực cản không khí đáng kể sẽ làm tăng thời gian rơi. Sử dụng thời gian lâu hơn (vẫn bỏ qua lực cản không khí như tôi đã làm trước đó) sẽ dẫn đến chiều cao của tháp được tính toán lớn hơn 45 mét. Tôi không tìm thấy điều đó, nên tôi nghĩ rằng sự cản trở từ không khí không quan trọng. Nhưng bạn vẫn nên mô hình hóa nó.
7. Bản chất của khoa học và kỹ thuật là gì?
Ha! Điều này sẽ làm bạn bận rộn một thời gian. Thực ra, đây không phải là một câu hỏi bài tập, nhưng đây có lẽ là phần tốt nhất của video. Đây là những gì Mark Rober nói:
"Đó là vòng lặp của việc thiết kế một cái gì đó trong CAD và sau đó phân tích nó để xem liệu nó có đủ tốt không, và sau đó bạn kiểm tra để kiểm tra câu trả lời của bạn. Sử dụng máy tính để phân tích các thiết kế cho phép chúng ta tạo ra các hệ thống phức tạp hơn nhiều so với trước đây, khi máy tính không mạnh mẽ như bây giờ."
"Ý tưởng rằng chúng ta có thể hiểu và dự đoán thế giới xung quanh chúng ta bằng toán học và phương trình là điều đã khiến tôi yêu khoa học từ khi tôi học vật lý ở trung học."
Đúng vậy. Tất cả đều về các mô hình.
Câu chuyện tuyệt vời khác từ MYTOUR
- Làm thế nào các vụ nhìn UFO trở thành ổn áp Mỹ
- Thung lũng Silicon đã làm hỏng văn hóa làm việc
- Đi đến tận cùng (và xa hơn) để bắt kẻ gian marathon
- Vệt máy bay có ảnh hưởng bất ngờ đến hiệu ứng ấm toàn cầu
- Bạn có nhận ra các thành ngữ trong những bức ảnh này không?
- 👁 Nhà vô địch cờ vua thất bại làm hòa với trí tuệ nhân tạo. Cùng với tin tức AI mới nhất
- ✨ Tối ưu hóa cuộc sống tại nhà của bạn với các lựa chọn tốt nhất từ nhóm Gear của chúng tôi, từ robot hút bụi đến đệm giá rẻ đến loa thông minh
