Đạo hàm giúp giải quyết các bài toán về biến đổi. Nó được sử dụng để tính toán vận tốc và gia tốc trong vật lý. Đạo hàm còn hỗ trợ tối ưu hóa lợi nhuận trong lĩnh vực kinh tế. Bên cạnh đó, đạo hàm còn có ứng dụng trong phân tích tín hiệu trong các ngành kỹ thuật.

Bảng đạo hàm lớp 11 bao gồm những công thức cơ bản và nâng cao mà học sinh phải nắm vững để giải quyết các bài toán đạo hàm, từ dễ đến khó, trong chương trình Toán lớp 11.
Đạo hàm lớp 11 là gì? Tổng quan kiến thức cơ bản bạn cần biết
Bảng đạo hàm lớp 11 là một khái niệm toán học chỉ ra tốc độ thay đổi tức thời của một hàm số. Đây là kiến thức nền tảng quan trọng, giúp bạn xây dựng nền tảng vững chắc cho các phần toán học nâng cao và các ứng dụng thực tế.

Bảng công thức đạo hàm lớp 11 đầy đủ và các công thức cơ bản quan trọng
Đạo hàm lớp 11 là công cụ quan trọng, giúp học sinh giải quyết nhanh chóng các bài toán đạo hàm. Việc nắm vững và áp dụng linh hoạt các công thức sẽ giúp bạn đạt được kết quả cao trong bài thi.
Bảng công thức đạo hàm cơ bản lớp 11
| Hàm số | Đạo hàm |
| y = c (hằng số) | y’ = 0 |
| y = x | y’ = 1 |
| y = xn (n ∈ ℝ) | y’ = n xn-1 |
| y = √x | y’ = 1/(2√x) |
| y = 1/x | y’ = -1/x2 |
| y = ax | y’ = axln(a) |
| y = logax | y’ = 1/(x ln(a)) |
Các quy tắc tính đạo hàm
- Đạo hàm tổng: (u + v)’ = u’ + v’
- Đạo hàm hiệu: (u – v)’ = u’ – v’
- Đạo hàm tích: (u.v)’ = u’.v + u.v’
- Đạo hàm thương: (u/v)’ = (u’v – uv’) / v2
Mẹo để ghi nhớ công thức đạo hàm lớp 11
- Viết các công thức ra giấy và tạo sơ đồ tư duy để dễ nhớ.
- Sử dụng flashcard hoặc ứng dụng học công thức để ôn luyện hiệu quả.
- Luyện tập ngay với bài tập để ghi nhớ lâu dài.
- Tải Bảng đạo hàm lớp 11 PDF để có thể ôn luyện bất cứ lúc nào.

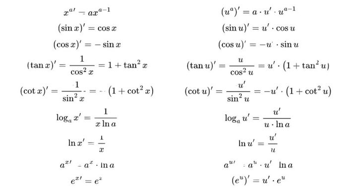
Công thức đạo hàm lớp 11 áp dụng cho hàm lượng giác
Đạo hàm của các hàm lượng giác là một phần không thể thiếu trong chương trình toán lớp 11, thường xuyên xuất hiện trong các đề thi.
| Hàm số | Đạo hàm |
| y = sin x | y’ = cos x |
| y = cos x | y’ = -sin x |
| y = tan x | y’ = 1/cos2x = sec2x |
| y = cot x | y’ = -1/sin2x = -cosec2x |
- Lưu ý: Khi tính đạo hàm của các hàm lượng giác phức tạp (như: sin(ax+b)), cần áp dụng quy tắc đạo hàm của hàm hợp.
Công thức đạo hàm lớp 11 cho các hàm lũy thừa, mũ, logarit
Các hàm số mũ, lũy thừa, logarit cũng rất phổ biến trong các bài tập đạo hàm lớp 11.
| Hàm số | Đạo hàm |
| y = xn | y’ = n xn-1 |
| y = ax (a > 0, a ≠ 1) | y’ = axln(a) |
| y = ln x | y’ = 1/x |
| y = logax | y’ = 1/(x ln(a)) |
Sử dụng đúng các công thức và quy tắc trong bảng đạo hàm lớp 11 để giải quyết các bài toán tổng hợp hiệu quả.
Đạo hàm hàm hợp và các công thức nâng cao lớp 11
Đạo hàm hàm hợp là một kỹ năng quan trọng, được áp dụng trong nhiều bài toán liên quan đến hàm số phức tạp.
- Quy tắc đạo hàm của hàm hợp:
- Nếu y = f(u), u = g(x) thì y’ = f'(u) . u’
- Ví dụ: y = sin(2x + 1) ⇒ y’ = cos(2x + 1) × 2
- Đạo hàm của các hàm số kết hợp: Kết hợp nhiều quy tắc (tích, thương, hợp) để giải quyết các bài toán nâng cao.
- Sử dụng thành thạo để khảo sát, xác định cực trị, giải phương trình tiếp tuyến, v.v.
Hướng dẫn tính đạo hàm lớp 11 và các bài tập có lời giải
Để tính đạo hàm lớp 11 hiệu quả, bạn cần hiểu rõ các bước giải quyết và luyện tập thường xuyên với các bài tập thực tế. Dưới đây là hướng dẫn chi tiết và các ví dụ minh họa cụ thể.
Bước 1: Phân tích hàm số
- Xác định dạng của hàm số (đa thức, lượng giác, mũ, logarit, hợp,...).
- Chọn công thức đạo hàm phù hợp với dạng hàm số.
Bước 2: Áp dụng các quy tắc đạo hàm
- Áp dụng các quy tắc đạo hàm như tổng, hiệu, tích, thương, hàm hợp tùy vào từng bài toán cụ thể.

Bước 3: Rút gọn biểu thức
- Biến đổi và rút gọn kết quả đạo hàm nếu cần thiết để có biểu thức gọn gàng hơn.
Ví dụ minh họa:
- Ví dụ 1: Tính đạo hàm của y = 3x4 – 5x + 2
Giải: y’ = 3×4x3 – 5 = 12x3 – 5 - Ví dụ 2: y = sin(2x) + ln(x)
Giải: y’ = cos(2x)×2 + 1/x = 2cos(2x) + 1/x
Tài nguyên học tập đạo hàm lớp 11 (PDF, Word, Excel, app)
Có rất nhiều tài liệu và công cụ hỗ trợ học bảng đạo hàm lớp 11, giúp bạn dễ dàng ôn tập mọi lúc mọi nơi.
- Bảng công thức đạo hàm lớp 11 PDF: Tổng hợp đầy đủ, khoa học, dễ in và tra cứu nhanh chóng.
- File Word, Excel: Dễ dàng chỉnh sửa, tạo flashcard hoặc bảng tóm tắt cá nhân.
- App & phần mềm: Có thể sử dụng các ứng dụng tính đạo hàm lớp 11 trên điện thoại hoặc phần mềm máy tính để kiểm tra kết quả và luyện tập hiệu quả.

So sánh bảng đạo hàm lớp 11 và lớp 12: Liên kết kiến thức và ứng dụng
Kiến thức đạo hàm lớp 11 là nền tảng quan trọng cho giải tích lớp 12 và các kỳ thi đại học. Sự khác biệt chủ yếu giữa hai lớp học là mức độ ứng dụng và độ phức tạp của các bài toán.
- Lớp 11: Tập trung vào các định nghĩa cơ bản, công thức đạo hàm, quy tắc và vận dụng giải các bài toán về đạo hàm, tiếp tuyến, và khảo sát các hàm số đơn giản.
- Lớp 12: Ứng dụng sâu hơn đạo hàm: khảo sát, vẽ đồ thị hàm số, xác định cực trị, giá trị lớn nhất nhỏ nhất, giải phương trình và bất phương trình liên quan.
- Kỳ thi đại học: Chủ yếu áp dụng kiến thức đạo hàm lớp 11 vào các bài toán khảo sát hàm số, cực trị, tiếp tuyến, vận tốc, tối ưu hóa, v.v...

Ứng dụng thực tế và một số lưu ý khi học đạo hàm lớp 11
Bảng đạo hàm lớp 11 không chỉ là kiến thức lý thuyết mà còn có rất nhiều ứng dụng thực tế trong đời sống và các ngành khoa học khác nhau.
- Ứng dụng trong vật lý: Tính toán vận tốc tức thời, gia tốc, mô hình chuyển động thay đổi.
- Ứng dụng trong kinh tế: Tìm kiếm điểm tối ưu, cực trị như lợi nhuận, chi phí,...
- Kỹ thuật: Phân tích tín hiệu, tự động hóa, robot, mô hình hóa các hệ thống.
- Lưu ý khi học: Không chỉ học thuộc lòng, mà cần hiểu bản chất vấn đề, luyện tập thường xuyên và tham khảo nhiều tài liệu khác nhau.
Câu hỏi thường gặp
Bảng đạo hàm lớp 11 có thể tải từ đâu?
Đạo hàm lớp 11 khác gì so với lớp 12?
Lớp 11 chủ yếu tập trung vào định nghĩa và công thức đạo hàm, cùng với các phép tính đạo hàm cơ bản. Sang lớp 12, bạn sẽ học cách ứng dụng đạo hàm để khảo sát các hàm số, tìm cực trị và giải quyết các bài toán thực tế phức tạp hơn.
Có nên sử dụng app hoặc máy tính để tính đạo hàm không?
Sử dụng app hoặc máy tính cầm tay để kiểm tra kết quả và luyện tập nhanh chóng là một cách hữu ích. Tuy nhiên, bạn vẫn cần phải hiểu rõ bản chất của vấn đề và tự làm bài bằng tay để rèn luyện kỹ năng giải toán cho các kỳ thi.
Học đạo hàm lớp 11 có ứng dụng thực tế gì?
