Vi phân là khái niệm quen thuộc nhưng nhiều người vẫn chưa nắm rõ định nghĩa cũng như ứng dụng thực tiễn của nó. Việc hiểu sâu về lý thuyết và thực hành các bài tập về vi phân sẽ giúp bạn áp dụng hiệu quả trong toán học và cuộc sống. Bài viết này tổng hợp công thức, ứng dụng và những dạng bài tập phổ biến liên quan đến vi phân.
Vi phân là gì?
Trong toán học, vi phân thể hiện sự thay đổi rất nhỏ của giá trị hàm số khi đối số có sự biến đổi vô cùng nhỏ. Với hàm số y = f(x) có đạo hàm tại một điểm, vi phân của hàm số tại điểm đó được xác định theo công thức sau:
dy = f’(x)dx
Cụ thể, dx đại diện cho sự thay đổi rất nhỏ của biến x, còn dy là mức độ thay đổi tương ứng của hàm số khi biến x thay đổi đó.

Để nắm vững lý thuyết và giải các bài tập về vi phân, bạn cần một công cụ hỗ trợ đắc lực. Một chiếc laptop với hiệu năng ổn định sẽ giúp bạn tra cứu tài liệu, sử dụng phần mềm toán học và học trực tuyến thuận tiện hơn. Tại Mytour, bạn có thể tìm thấy nhiều mẫu laptop chất lượng, hỗ trợ tối đa cho việc học và nghiên cứu về vi phân một cách hiệu quả.
Những công thức vi phân quan trọng cần phải nắm
Nắm chắc lý thuyết vi phân không chỉ giúp bạn hiểu sâu sắc về sự biến đổi của hàm số mà còn tăng cường khả năng áp dụng vào các bài tập thực tế. Khi đã thành thạo các quy tắc cơ bản, bạn sẽ dễ dàng giải quyết đa dạng các dạng toán. Những công thức dưới đây sẽ hỗ trợ bạn giải bài tập nhanh, chính xác và hiệu quả hơn.
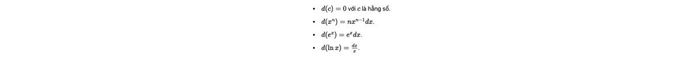
- Vi phân của các hàm số thông dụng:

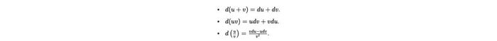
- Vi phân của tổng, hiệu, tích, thương giữa hai hàm số:

Những ứng dụng thiết thực của vi phân
Trong giải tích, vi phân giữ vai trò quan trọng giúp xác định chính xác sự thay đổi của hàm số. Việc nắm vững lý thuyết vi phân giúp bạn linh hoạt áp dụng trong nhiều lĩnh vực khác nhau.
- Ước tính giá trị gần đúng: Giúp tính nhanh giá trị hàm số mà không cần dùng công thức phức tạp.
- Xác định sai số đo lường: Vi phân hỗ trợ đánh giá độ chính xác trong các phép đo khoa học và kỹ thuật.

Tổng hợp các dạng bài tập vi phân phổ biến
Dưới đây là hai dạng bài tập cơ bản giúp bạn nắm vững lý thuyết vi phân cũng như cách áp dụng trong thực tế. Việc luyện tập đều đặn sẽ giúp bạn thành thạo kỹ năng tính toán và sử dụng vi phân một cách hiệu quả hơn.
Dạng toán tìm vi phân của hàm số y = f(x)
Dạng bài này yêu cầu bạn xác định vi phân của một hàm số dựa trên đạo hàm tương ứng. Thường bài toán sẽ yêu cầu tìm dy khi biết x và dx. Việc luyện tập dạng này giúp bạn hiểu rõ hơn về khái niệm vi phân và ứng dụng trong việc tính gần đúng giá trị hàm số.

Dạng bài tính giá trị gần đúng của biểu thức bằng vi phân
Dạng toán này sử dụng vi phân để ước lượng giá trị gần đúng của hàm số khi biến số thay đổi rất nhỏ. Đây là phương pháp tính nhanh hiệu quả mà không cần đến các công cụ phức tạp. Khi luyện tập dạng bài này, bạn sẽ thấy rõ cách lý thuyết vi phân giúp đơn giản hóa các phép tính khó khăn.

Vi phân đóng vai trò quan trọng trong nhiều lĩnh vực toán học và ứng dụng thực tế rộng rãi. Hiểu rõ định nghĩa vi phân sẽ giúp bạn vận dụng linh hoạt trong các bài toán thực tiễn. Đồng thời, việc luyện tập lý thuyết và bài tập về vi phân thường xuyên cũng giúp nâng cao kỹ năng tư duy và giải quyết vấn đề nhanh, chính xác hơn.
